Перейти к основному содержимому
Версия: 2.0.x

stddev_samp

Возвращает выборочное стандартное отклонение выражения. Начиная с версии 2.5.10, эта функция также может использоваться как оконная функция.

Синтаксис

STDDEV_SAMP(expr)

Параметры

expr: выражение. Если это столбец таблицы, он должен вычисляться в TINYINT, SMALLINT, INT, BIGINT, LARGEINT, FLOAT, DOUBLE или DECIMAL.

Возвращаемое значение

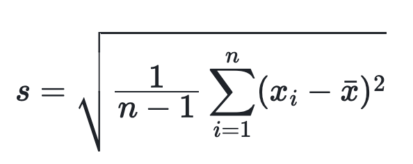
Возвращает значение типа DOUBLE. Формула следующая, где n представляет количество строк таблицы:

image

Примеры

MySQL > select stddev_samp(scan_rows)
from log_statis
group by datetime;
+--------------------------+
| stddev_samp(`scan_rows`) |
+--------------------------+
| 2.372044195280762 |
+--------------------------+

Смотрите также

stddev

Ключевое слово

STDDEV_SAMP,STDDEV,SAMP